在校生
教职工
校友
考生
招聘
融合门户
WebVPN
站点地图
工程黄页
English
BBVBBV(中国)
BBV网页版简介
BBV网页版章程
历史沿革
BBV网页版大事
历任领导
领导机构
现任领导
机构设置
BBV网页版标识
校园风光
师生风采
校内地图
教育教学
本专科生教育
研究生教育
继续教育
网络教学平台
学科建设
科学研究
科学研究处
科研机构
学术信息
师资队伍
国家级专家
省级专家
市级专家
省级名师
校级名师
长白山技能名师
学生工作
思政在线
处长信箱
合作交流
国际交流
社会合作
招生就业
本科招生
硕士研究生
继续教育招生
就业信息网
国际学生招生
思政建设
理论学习
工作动态
经验交流
人才招聘
招聘信息
人事处
文献信息
图书馆
档案馆
网站首页
>
通知公告
> 正文
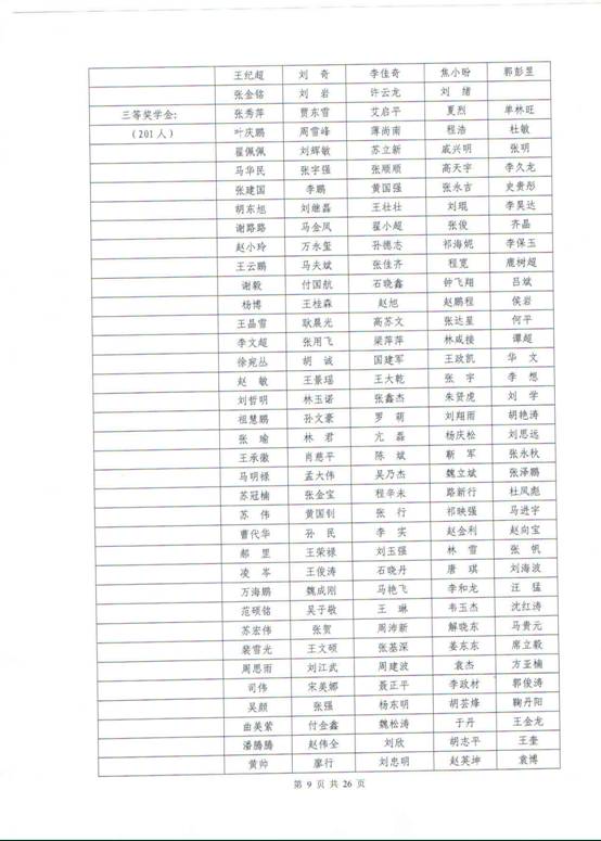
BBV网页版2011-2012学年在校学生评优结果公示
文章来源: 作者: 发布日期:2012年10月24日
上一条:
关于网络维护的紧急通知
下一条:
关于报送2013年因公出国(境)计划和出国培训项目申请的通知
相关文章
读取内容中,请等待...
信息分享
BBV在线登录入口
|
BBV体育(中国)科技有限公司官网
|
BBV官方网站
|
BBV体育
|
BBV在线手机版(大中国区)
|
BBV.COMBBV体育(中国)科技公司
|
BBV平台
|
BBV网页版
|